EL “MACHINE LEARNING”: 

A tots ens han sorprès alguna vegada les pel·lícules de robots: Màquines intel·ligents que no només són capaces de parlar i respondre’ns, sinó que poden resoldre problemes i aprendre per ells mateixos. Si bé l’aprenentatge automàtic ja ha arribat per quedar-se, això significa un pas més al món de la intel·ligència artificial.  T’expliquem què és Machine Learning i dos models de funcionament. El Machine Learning … Continua la lectura de EL “MACHINE LEARNING”: 

Claret Divulga

El dia 28 d’octubre es va dur a terme a l’escola el Claret Divulga, una serie d’activitats de química, biologia i tecnologia on els alumnes de primer de batxillerat li ensenyen als alumnes de tercer de la ESO una serie d’experiments. També hem fet una activitat d’erasmus amb els alumnes suecs que van venir aquells dies. Nosaltres hem fet un registre del procés que podeu … Continua la lectura de Claret Divulga

XERRADA DAVID BUENO – El cervell desordenat

David Bueno és un neurocientífic i educador que ens va fer una xerrada el dimecres 9 de novembre sobre les transformacions dels seus cervells en una de les etapes més importants de les seves vides, a partir del seu llibre El cervell de l’adolescent (Rosa dels Vents, 2022). El cervell és l’òrgan de pensar, on es generen i gestionen els nostres comportaments. Canvia constantment: tot … Continua la lectura de XERRADA DAVID BUENO – El cervell desordenat

XERRADA INTEL·LIGÈNCIA ARTIFICIAL

El passat dimecres 27 d’octubre els alumnes de 1r de batxillerat vam assistir a una xerrada a l’auditori,on ens van parlar sobre la intel·ligència artificial. La intel·ligència artificial és un tema que molta gent desconeix i no hauria de ser així, ja  que està al caure.   Les xerrades del col·legi acostumen a interessar a un grup concret de persones, però aquesta va captar l’atenció de … Continua la lectura de XERRADA INTEL·LIGÈNCIA ARTIFICIAL

El “sol artificial” xinès

Xina ha inaugurat un nou prototip de reactor de fusió nuclear, anomenat HL-2M. És un reactor de proves, però que sens dubte serà crucial per a l’estudi d’aquest tipus d’energia. Primer de tot, posem-nos en context: vivim al segle XXI, l’era de la tecnologia i de la societat industrialitzada. Tot i així, això comporta un problema: ja des del segle passat, hem sobreexplotat els recursos … Continua la lectura de El “sol artificial” xinès

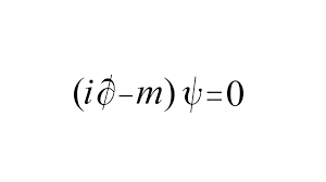
MAI T’HAS PREGUNTAT QUINA ÉS L’EQUACIÓ MÉS BONICA DEL MÓN?

Aquesta és l’equació de Dirac. Gràcies a això, es descriu el fenomen d’entrellaçament quàntic. Explica que: ‘Si dos sistemes interactuen un amb l’altre durant un cert període de temps i després se separen, el podem descriure com dos sistemes separats, però d’alguna manera, com van interactuar, s’han convertit en un sol sistema. Un d’ells segueix influint en l’altre, tot i estar a  quilòmetres de distància … Continua la lectura de MAI T’HAS PREGUNTAT QUINA ÉS L’EQUACIÓ MÉS BONICA DEL MÓN?

1 = 0 ?

Al veure aquesta equació deus pensar: això és impossible, 1 no pot ser igual que 0. Però, que et sembla si t’ho demostrem? Comencem amb la següent equació: -20=-20 -20 pot ser obtingut de diverses maneres. Com 25 – 45 o 16 – 36. Aleshores l’equació ens queda així:  25-45=16-36 Aquesta equació és igual que: 52-9·5=42-9·4  ja que:  25=52; -45=-9·5; 16=42;  -36=-9·4 Li sumem als … Continua la lectura de 1 = 0 ?

Més plàstics que peixos al mar: La preocupant situació dels mars actualment

La contaminació que provoca el plàstic al mar i els oceans no sembla disminuir. Com sabem es tracta d’un problema d’unes dimensions esgarrifoses i no s’està fent res per aturar-ho. La situació actual és molt alarmant i cada vegada ho és més. Més de les dues terceres parts de la planeta estan cobertes d’aigua. Això vol dir que a causa de la contaminació per plàstic … Continua la lectura de Més plàstics que peixos al mar: La preocupant situació dels mars actualment

L’EFECTE DE L’ESPAI EN EL COS HUMÀ

Està demostrat que trobar-se fora de la gravetat de la Terra atrofia els músculs i provoca modificacions genètiques. Nosaltres els humans vivim a la Terra, planeta el qual té unes característiques necessàries per nosaltres, els éssers humans, com vindrien a ser: l’oxigen, la gravetat, la llum solar, els mars… Això significa que si algun terrestre no es troba amb aquestes condicions, com vindria a ser … Continua la lectura de L’EFECTE DE L’ESPAI EN EL COS HUMÀ

Bacteris que s’alimenten de CO2

Uns científics d’Israel han trobat la manera de fer que un bacteri sigui capaç d’alimentar-se de diòxid de carboni (CO2), així ajudaríem molt a combatre el canvi climàtic. Després de més d’una dècada d’investigació en el laboratori del professor Ron Milo van aconseguir que els bacteris renunciessin al sucre i a tots els aliments sòlids normals. “El nostre laboratori va ser el primer a perseguir … Continua la lectura de Bacteris que s’alimenten de CO2